Jumat, 08 Oktober 2021

Rangkaian GGL dan Hukum Ohm pada Rangkaian Tertutup


A. Aktivitas Rangkaian Baterai secara Seri dan Paralel

Apa yang kamu perlukan?

1. lampu bohlam 1 buah

2. kabel dengan penjepit buaya 6 buah

3. baterai 1,5 volt dan dudukannya 3 buah

 

Apa yang harus kamu lakukan?

1. Buatlah rangkaian listrik dengan susunan satu baterai sehingga lampu menyala! Gambarkan rangkaian yang kamu peroleh!

2. Buatlah rangkaian listrik dengan susunan dua baterai sehingga lampu menyala! Lakukan susunan baterai dengan berbagai cara dan perhatikan nyala lampu! Gambarkan rangkaian yang kamu peroleh!

3. Buatlah rangkaian listrik dengan susunan tiga baterai sehingga lampu menyala! Lakukan susunan baterai dengan berbagai cara dan perhatikan nyala lampu! Gambarkan rangkaian yang kamu peroleh!


Hasil Percobaan:

1. Rangkaian listrik dengan susunan satu baterai sehingga lampu menyala.

Rangkaian listrik dengan susunan satu baterai 

2. Rangkaian listrik dengan susunan dua baterai sehingga lampu menyala. 

a. Rangkaian baterai secara seri

Rangkaian 2 baterai secara seri

b. Rangkaian baterai secara parallel

Rangkaian 2 baterai secara paralel

3. Rangkaian listrik dengan susunan tiga baterai sehingga lampu menyala. 

a. Rangkaian baterai secara seri

Rangkaian 3 baterai secara seri

b. Rangkaian baterai secara parallel

Rangkaian 3 baterai secara paralel


Apa yang perlu kamu diskusikan?

1. Bagaimanakah rangkaian susunan baterai yang kamu temukan untuk dapat menyalakan lampu?

2. Bagaimanakah pengaruh jumlah baterai yang disusun seri pada nyala lampu yang terjadi?

3. Bagaimanakah pengaruh susunan baterai yang dipasang paralel pada nyala lampu yang terjadi?

4. Apa yang dapat kamu simpulkan?


Hasil Diskusi:

1. Baterai dapat disusun secara seri dan secara paralel.

2. Semakin banyak jumlah baterai yang dipasang secara seri, nyala lampu semakin terang. Hal ini disebabkan beda potensial yang dihasilkan oleh baterai yang dipasang secara seri semakin besar atau dapat dirumuskan Vs = V1 + V2 + ... +Vn. Tetapi, apabila salah satu kabel yang menghubungkan baterai terputus, lampu tidak menyala.

3. Nyala lampu pada rangkaian baterai yang dipasang secara paralel tetap (tidak semakin terang). Hal ini disebabkan beda potensial yang dihasilkan oleh baterai yang dipasang secara paralel sama pada setiap titik atau dapat dirumuskan Vp = V1 = V2 = ... = Vn. Tetapi, apabila salah satu kabel yang menghubungkan baterai terputus, lampu akan tetap menyala.

4. Kesimpulan:

Baterai dapat disusun secara seri dan secara paralel. Semakin banyak jumlah baterai yang dipasang secara seri, nyala lampu semakin terang. Tetapi, apabila salah satu kabel yang menghubungkan baterai terputus, lampu tidak menyala. Apabila beberapa baterai dipasang secara paralel, nyala lampu tidak semakin terang. Tetapi, apabila salah satu kabel yang menghubungkan baterai terputus, lampu akan tetap menyala. 


B. Gaya Gerak Listrik (GGL) dan Tegangan Jepit

Baterai baru yang belum dipakai umumnya memiliki Gaya Gerak Listrik (GGL) = 1,5 V. Artinya sebelum dirangkaikan untuk menghasilkan arus listrik, di antara kutub-kutub baterai ada tegangan sebesar 1,5 V. Jika baterai dihubungkan dengan suatu rangkaian sehingga ada arus yang mengalir, maka tegangan di antara kutub-kutub baterai disebut tegangan jepit.

Perbedaan besar GGL dan tegangan jepit baterai terjadi karena adanya hambatan dalam pada baterai. Menurut hukum Ohm, besar kuat arus yang mengalir pada rangkaian tertutup adalah:

Persamaan kuat arus yang mengalir pada rangkaian

Sehingga, besar tegangan jepitnya menjadi,

I ∙ R = E - ( i ∙ r )

     V = E - ( i ∙ r )

dengan:

r = hambatan dalam (Ω)

R = hambatan luar (Ω)

E = GGL baterai (volt)

V = tegangan jepit (volt)

I = arus listrik (ampere) 

Elemen listrik yang sama dipasang secara seri dapat dihitung dengan menggunakan rumus 

Etotal = E1 + E2 + ... + En = n ∙ E

rtotal = r1 + r2 + ... + rn = n ∙ r 

sehingga besar kuat arusnya adalah:

besar kuat arusnya ranglaian seri

Bagaimana jika elemen listrik yang sama dipasang secara paralel? Jelaskan!

Etotal = E1 = E2 = ... = En  = E

rtotal = r1 + r2 + ... + rn  =  r/n 

 sehingga besar kuat arusnya adalah:

besar kuat arusnya dipasang paralel

C. Latihan Soal Rangkaian GGL:   

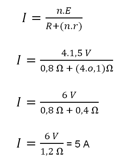
1. Empat buah baterai masing-masing memiliki GGL 1,5 Volt dan hambatan dalam 0,1 Ohm dirangkaiakan seri dan dihubungkan dengan sebuah lampu pijar yang mempunyai hambatan 0,8 Ohm. Hitunglah kuat arus listrik yang melewati lampu tersebut ! 

Penyelesaian

Diketetahui: 

         E = 1,5 V

          n = 4

          r  = 0,1 Ω

          R = 0,8 Ω

Ditanya : I = ?

Jawab:

GGL batu baterai pengganti seri Etotal = n x E = 4x1,5 V = 6 V

Hambatan dalam total  rtotal  =  n x r = 4 x 0.1 Ω = 0,4 Ω

Berdasarkan hukum Ohm dalam rangkaian tertutup

Persamaan kuat arus yang dipasang seri

Jadi kuat arus yang mengalir melewati lampu adalah 5 A


2. Empat buah baterai identik masing-masing dengan GGL  9 Volt dan hambatan dalam 1 Ohm dirangkaiakan secara paralel. Rangkaian baterai ini dihubungkan dengan sebuah resistor yang mempunyai hambatan  2 Ohm. Hitunglah kuat arus listrik yang melewati hambatan  tersebut ! 

Penyelesaian

Diket: E = 9 V

          n = 4

          r  = 1 Ω

          R = 2 Ω

Ditanya : I = ?

Jawab       

GGL baterai pengganti paralel Etotal = E = 9 V

Hambatan dalam total  rtotal = r/n = ¼ Ω = 0,25 Ω

Berdasarkan hukum Ohm dalam rangkaian tertutup

Persamaan kuat arus yang dipasang paralel

Jadi kuat arus yang mengalir melewati lampu adalah 4 A

Sumber:

Ilmu Pengetahuan Alam. SMP/MTs Kelas IX Semester 1. Kementerian Pendidikan dan Kebudayaan. Edisi Revisi Jakarta: Kementerian Pendidikan dan Kebudayaan, 2017

Contextual Teaching and Learning Ilmu Pengetahuan Alam: Sekolah Menengah Pertama/Madrasah Tsanawiyah Kelas IX Edisi 4/Nur Kuswanti, Jakarta: Pusat Perbukuan, Departemen Pendidikan Nasional, 2008.

Mari Belajar IPA 3 : Ilmu Pengetahuan Alam untuk SMP/MTs kelas IX/ Elok Sudibyo; editor : Eko Supatmawati. —Jakarta: Pusat Perbukuan, Departemen Pendidikan Nasional, 2008.

Baca Juga

LISTRIK DINAMIS DALAM KEHIDUPAN SEHARI-HARI

01

Listrik Dinamis dalam Kehidupan Sehari-hari

02

Arus Listrik

03

Hantaran Listrik

04

Rangkaian Listrik

05

Hambatan Jenis Bahan

06

Larutan Elektrolit

07

Penangkal Petir

08

Hukum Ohm pada Rangkaian Listrik

09

Hukum Kirchhof pada Rangkaian Listrik

10

Rangkaian Hambatan Listrik

11

Rangkaian GGL dan Hukum Ohm pada Rangkaian Tertutup

12

Sumber Energi Alternatif Listrik

13

Tumbuhan sebagai Sumber Energi Listrik

14

Transmisi Energi Listrik

15

Penggunaan Energi Listrik di Lingkungan Sekitar

16

Upaya Penghematan Energi Listrik

17

Pencegahan Bahaya Penggunaan Listrik

Tidak ada komentar: